Subscribe Twitter Facebook

quarta-feira, 23 de fevereiro de 2011

Revoluções teóricas

Para Edward Witten, considerado hoje um dos mais importantes físicos teóricos, a teoria das supercordas deve ganhar outras interpretações no futuro
Desde sua origem no fim da década de 1960, a teoria das supercordas passou por inúmeras reviravoltas. Em vários momentos ganhou novas interpretações, até se tornar a mais bem-sucedida resposta, até hoje, para um dos maiores desafios da física contemporânea: unificar a teoria da relatividade geral e a mecânica quântica.

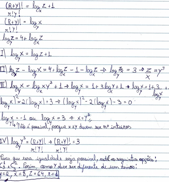
Desafio Resolvido

Parabéns Marcos Valle, por resolver um de nossos desafios


Abaixo segue a resolução:

clique na imagem para ver maior

Seja y = mx + h a equação da reta buscada.

$$\bigtriangleup{AOE} \sim \bigtriangleup{EFB}$$

Razão de semelhança linear: $$k = \frac{6}{2} = 3$$

Logo:

m(OE) = 3 e m(EF) = 1

Calculemos  o coeficiente angular da reta BC:

$$Tg\alpha = \frac{m(BF)}{m(EF)} = 2$$
$$Tg\beta = Tg\left(\frac{2\pi}{3} - \alpha\right)$$
$$Tg\beta = \frac{Tg(2\pi/3) - Tg\alpha}{1 + Tg(2\pi/3).Tg\alpha}$$
$$Tg\beta = -\frac{\sqrt{3} + 2}{1 - 2\sqrt{3}}$$

Portanto, $$m = Tg(\pi - \beta) = \frac{\sqrt{3} + 2}{1 - 2\sqrt{3}}$$

Para encontrar o coeficiente linear, façamos:

$$Tg\beta = \frac{m(BF)}{m(FG)}$$
$$m(FG) = \frac{2 - 4\sqrt{3}}{sqrt{3} + 2}$$

Mas:

$$\bigtriangleup{HOG} \sim \bigtriangleup{BFG}$$
$$\frac{m(OH)}{m(FB)} = \frac{m(OG)}{m(FG)}$$

$$h = m(OH) = \frac{2.(4 - 2 - 4\sqrt{3}/\sqrt{3} + 2)}{-2-4\sqrt{3}/\sqrt{3} + 2}$$
$$h = 2 - \frac{4(\sqrt{3} + 2)}{1 - 2\sqrt{3}}$$

Assim:

$$y = \left(\frac{\sqrt{3} + 2}{1 - 2\sqrt{3}}\right)x + \left(2 - \frac{4(\sqrt{3} + 2)}{1 - 2\sqrt{3}}\right)$$

Racionalizando chegamos a:

$$(8 + 5\sqrt{3})x + 11y - (54 + 20\sqrt{3} ) = 0$$

O Marcos Valle também resolveu através de geometria analítica. Quem quiser as resoluções em .pdf entre em contato conosco pelo e-mail: clavedepi@gmail.com


Em breve outro desafio.

terça-feira, 22 de fevereiro de 2011

O que é música?

Uns dizem que ela acalma as feras, outros que é o alimento da alma. Mas, sinceramente, não posso defini-la. Ela mexe com nossa criatividade, com nossas emoções, com a racionalidade... Envolve matemática, física e ainda envereda por ramos psicológicos. É simplesmente fascinante o seu alcance!
Basicamente é formada por três elementos: melodia, harmonia e ritmo. Estes são sua santíssima trindade. Sem um dos três elementos, não há música. Então, vamos a uma breve explicação desses conceitos:

Melodia: consiste na sucessão dos sons formando sentido musical. ¹

Harmonia: é a execução de vários sons ouvidos ao mesmo tempo, observadas as leis que regem os agrupamentos dos sons simultâneos. ²

Ritmo: consiste no movimento dos sons regulados pela sua maior ou menor duração. ³

Imagine um agrupamento de planetas. Nosso sistema solar, por exemplo. Imagine cada planeta como uma nota. Teremos assim, uma sucessão de notas. Contudo, cada planeta segue seu movimento de translação, o que podemos chamar de ritmo, posto que esse movimento é constante. Desse modo teríamos uma sucessão de sons (notas) tocadas com ritmo. Com isso temos um “sentido expressivo musical”.
Para se aprender música são necessários pelo menos três elementos: A teoria, onde aprendemos os conceitos e notações; a prática, onde exercitamos exaustivamente o que aprendemos na teoria; e a audição: é necessário ouvir e entender uma música antes de tocá-la bem. Isso traz mais conhecimento musical.
Essas etapas me lembram um pouco a metodologia científica. No entanto, a música reúne uma vasta gama de elementos e é de uma complexidade tamanha que por vezes me pergunto se ela é arte ou ciência. Bem, mas como disse Cesar Lattes: “a ciência é uma irmã caçula (talvez bastarda) da arte”.

Vitor S. Chagas - Editor do Clave de Pi

Referência Bibliográfica:
(1)(2)(3) Priolli, M. L. M. Princípios Básicos da Música para Juventude. 49ª Edição Revista e Atualizada. Rio de Janeiro, Casa Oliveira de Músicas Ltda., 2007. 142p. 1º volume.

sábado, 19 de fevereiro de 2011

Desafio já resolvido

Olá pessoal, já temos um novo desafio. Envolvendo dessa vez, um pouco de geometria analítica.

O triângulo BCD da figura abaixo é equilátero. Determine a equação da reta suporte do lado BC.


Clique na figura para ver em tamanho maior.Dados: Pontos A(0, - 6); B(4,2).

Boa sorte!

Não serão aceitos resoluções no comentário. Mande a sua resolução para o e-mail: clavedepi@gmail.com.

Lembrando que quem resolver o desafio primeiro terá a sua foto exposta no blog.

Clave de Pi - "O conhecimento é a harmonia da vida."

sexta-feira, 18 de fevereiro de 2011

Serei físico, e agora?

No último vestibular (2011) fui aprovado para física na Universidade Federal Fluminense (UFF), mas ainda no segundo ano do ensino médio havia sido aprovado em segundo lugar na Universidade Federal do Rio de Janeiro (UFRJ) para o mesmo curso. Mas minha história com a física começou bem antes...
Quando criança, eu gostava de acordar cedo aos sábados para assistir ao programa “Globo Ciência” e esperava avidamente pela parte em que o físico Marcelo Gleiser explicava alguma curiosidade ou fenômeno. E jamais me esquecerei do dia em que ele explicou relatividade. Utilizando uma pequena superfície elástica, explicou a deformação que a matéria causa no espaço-tempo. Fiquei fascinado. A partir de então tomei Einstein como referência. Pode parecer pretensioso tomar um gênio como referência, ou até pouco original, já que muitos se inspiraram neste que é um dos maiores ícones da física. Mas não havia mais jeito, estava apaixonado pela física moderna.

Os anos passaram e cheguei ao ensino médio. Comecei a me preparar para o vestibular... No entanto, a possibilidade de cursar física era distante. Pretendia fazer engenharia, mas era demasiado indeciso sobre qual engenharia cursar. No primeiro ano pretendia fazer engenharia química, no segundo engenharia mecânica... Contudo, no terceiro ano, veio a pior indecisão: será que de fato quero engenharia? Por mais que procurasse, nenhuma engenharia me agradava por completo. Foi então que comecei a cogitar a carreira de físico. Comecei a conversar e perguntar sobre. Com isso, comecei a ouvir e ler histórias pavorosas. Algumas pessoas tentaram me desencorajar. Mas a idéia de ser físico não saía da minha cabeça. Nada me agradava mais. No entanto, certo dia acordei com a idéia na cabeça, por acaso era o dia de inscrição no vestibular da UFF. Era física. Estava decidido.
Pretendo seguir a vida de pesquisador, na área de física teórica e na física de altas energias. Não sei o que o futuro me reserva. Mas seja como for, escreverei mais aqui sobre a vida de físico à medida que for descobrindo. Por enquanto, sou um humilde universitário em férias.
Agora, aprovado, com a inscrição feita, apenas aguardo o início das aulas. Mas essa breve história me remete a alguns questionamentos. Por que hoje todos querem ser engenheiros? Por que o espanto nas faces alheias quando respondemos que seremos físicos? Por que cada vez menos pessoas procuram carreiras como física e matemática? Deixo as perguntas em aberto caros leitores.
Gostaria que aqueles que são físicos ou matemáticos dividissem aqui suas experiências. Como é ser físico ou matemático? Como é a vida nessas carreiras? Espero com isso, poder ajudar àqueles que estão indecisos como eu já estive um dia.

Vitor S. Chagas - editor do Clave de Pi

quinta-feira, 17 de fevereiro de 2011

Possível cura para a Calvície descoberta acidentalmente

Um problema conhecido pela maioria dos homens pode estar chegando ao fim. Cientistas da Universidade da Califórnia (UCLA) descobriram, por incrível que pareça acidentalmente um possível novo tratamento para a calvície.
Ao fazerem alguns experimentos para descobrir as possíveis relações entre o estresse e o trato gastrointestinal em ratos, os cientistas encontraram um novo composto que fazia com que os roedores tivessem novamente o pêlo crescendo. (Veja a foto abaixo)



Os ratos foram geneticamente modificados para ficarem bem mais estressados que o normal (coitadinhos). Eles foram modificados para que liberassem altas taxas de um hormônio chamado CRF (fator liberador de corticotrofina em inglês). Bem, à medida que o tempo passava, os roedores começaram a perder os pêlos nas costas.
Então os cientistas aplicaram um composto chamado “astressin-B” que bloqueava a ação do hormônio CRF. Passados três meses, para o espanto dos cientistas, todos os ratos estavam com pêlos novamente. Depois de alguns estudos, comprovou-se a curta relação entre o bloqueio do hormônio e o crescimento do pêlo. O mais incrível é que com apenas cinco dias de doses diárias, os ratos continuaram com pêlo por quatro meses – visto que os ratos vivem cerca de dois anos.
Boa notícia para os calvos. Vocês estão perto de serem curados.  Já que o hormônio CRF também é encontrado na pele humana.
Isso pode criar novas formas de tratar a queda de cabelos em humanos através da modulação dos receptores do hormônio do estresse, especialmente a queda provocada pela idade e pelo estresse crônico”, disse o professor de medicina da UCLA.

Clave de Pi - "O conhecimento é a harmonia da vida."

quarta-feira, 16 de fevereiro de 2011

Desafio Resolvido

Parabéns Bruno Sally, por resolver novamente um de nossos desafios.





Abaixo segue a resolução:


Clique na Imagem para ver em tamanho maior.

Em breve novo desafio.

quarta-feira, 2 de fevereiro de 2011

Novo desafio

Olá pessoal!

Desculpem a demora por um novo desafio, mas, aqui está ele (clique na imagem para ver em tamanho maior):






Quem conseguir resolvê-lo, mandem a resolução para o nosso e-mail: clavedepi@gmail.com .
Não serão aceitas resoluções postadas em comentário. E lembrando que quem mandar a resoluçao primeiro, terá a sua foto exposta no blog.

Portanto, boa sorte!

terça-feira, 1 de fevereiro de 2011

Os primeiros Mil números Primos

Olá pessoal!

Estamos disponibilizando algo de sumo interesse para nós que amamos matemática. Os primeiros mil números primos. Se alguém quiser tentar resolver e achar a solução da Hipótese de Riemann, fique a vontade pois você já terá um bom começao com todos esses números que estamos disponibilizando.

Clique no link "Mais informações" para acessá-los.